传送门:https://ac.nowcoder.com/acm/contest/8409/I
题意
$$求解\int_{0}^{+\infty }\frac{1}{\prod_{i=1}^n(a_i^2+x^2)}dx$$
思路
想要用分部积分求该定积分是非常非常困难的,而题目给出了$\int_{0}^{+\infty}\frac{1}{1+x^2}dx=\frac{\pi}{2}$,所以我们就想办法把这个连乘变成连加,这样就好求了。
当n=1时:
$$\int_{0}^{+\infty}\frac{1}{a^2+x^2}dx=\frac{1}{a^2}arctan(\frac{x}{a})_0^{+\infty}=\frac{\pi}{2a}$$
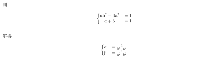
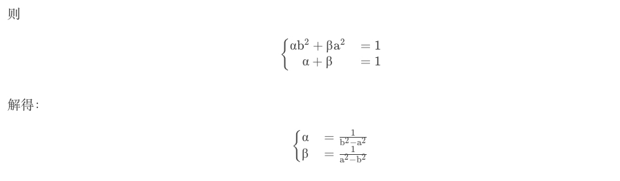
当n=2时:
只看让式子分解的部分:
$$\frac{1}{a^2+x^2}\frac{1}{b^2+x^2}=\frac{\alpha}{a^2+x^2}+\frac{\beta }{b^2+x^2}=\frac{\alpha b^2+\beta a^2 + x^2(\alpha + \beta)}{(a^2+x^2)(b^2+x^2)}$$

转化为:
$$\int_{0}^{+\infty }(\frac{1}{b^2-a^2})(\frac{1}{a^2+x^2})+(\frac{1}{a^2-b^2})(\frac{1}{b^2+x^2})dx=\frac{1}{b^2-a^2}*\frac{1}{2a}+\frac{1}{a^2-b^2}*\frac{1}{2b}$$
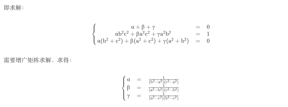
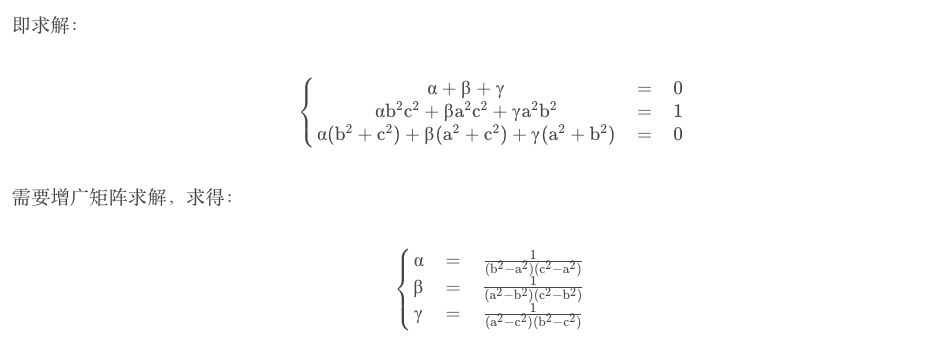
当n=3时:
$$\frac{1}{a^2+x^2}\frac{1}{b^2+x^2}\frac{1}{c^2+x^2}=\frac{\alpha}{a^2+x^2}+\frac{\beta}{b^2+x^2}+\frac{\gamma}{c^2+x^2}$$ $$=\frac{\alpha b^2c^2+\beta a^2c^2+\gamma a^2b^2+x^2(\alpha (b^2+c^2)+\beta (a^2+c^2)+\gamma (a^2+b^2))+x^4(\alpha+\beta+\gamma)}{(a^2+x^2)(b^2+x^2)(c^2+x^2)}$$

$$\int_{0}^{+\infty }\frac{1}{(a^2+x^2)(b^2+x^2)(c^2+x^2)}dx$$ $$=\frac{1}{(b^2-a^2)(c^2-a^2)} \frac{1}{2a}+\frac{1}{(a^2-b^2)(c^2-b^2)}\frac{1}{2b}+ \frac{1}{(a^2-c^2)(b^2-c^2)}\frac{1}{2c}$$
根据上面的列举,大大推断出该式子的规律,即对于
$$\int_{0}^{+\infty }\frac{1}{\prod_{i=1}^n(a_i^2+x^2)}dx$$
$$ans=\sum_{i=1}^n\frac{1}{2a_i}\left (\prod_{j=1\;j\neq i}^n\frac{1}{a_j^2-a_i^2} \right )$$
Code
1 2 3 4 5 6 7 8 9 10 11 12 13 14 15 16 17 18 19 20 21 22 23 24 25 26 27 28 29 30 31 32 33 34 35 36 37 38 39 40 41 42 43 44 45 46 47 48 49 50 51 52 53 54 55 56 57 58 59 60 61 62 63 64 65 66 67 68 69 70 71 72 73 74 75 76 77 78 79 80 81 82
| ##include <bits/stdc++.h>
using namespace std;
typedef long long ll; typedef long double ld; typedef pair<int, int> pdd;
##define INF 0x3f3f3f3f ##define lowbit(x) x & (-x) ##define mem(a, b) memset(a , b , sizeof(a)) ##define FOR(i, x, n) for(int i = x;i <= n; i++)
const ll mod = 1e9 + 7;
const int N = 105;
double dis(double x1, double y1, double x2, double y2) { return sqrt((x1 - x2) * (x1 - x2) + (y1 - y2) * (y1 - y2)); }
ll quick_pow(ll a, ll b) { ll ans = 1; while(b) { if(b & 1) ans = ans * a % mod; a = a * a % mod; b >>= 1; } return ans % mod; }
void solve() { int n; while(cin >> n) { ll ans = 0; ll a[30005]; for(int i = 1;i <= n; i++) { cin >> a[i]; }; for(int i = 1;i <= n; i++) { ll t = 1; for(int j = 1;j <= n; j++) { if(i == j) continue; t = t * (((a[j] * a[j] % mod - a[i] * a[i] % mod) % mod + mod) % mod) % mod; } t = t * 2 % mod * a[i] % mod; ans = (ans + quick_pow(t, mod - 2)) % mod; } cout << ans % mod << endl; } }
signed main() { ios_base::sync_with_stdio(false); ##ifdef FZT_ACM_LOCAL freopen("in.txt", "r", stdin); freopen("out.txt", "w", stdout); signed test_index_for_debug = 1; char acm_local_for_debug = 0; do { if (acm_local_for_debug == '$') exit(0); if (test_index_for_debug > 20) throw runtime_error("Check the stdin!!!"); auto start_clock_for_debug = clock(); solve(); auto end_clock_for_debug = clock(); cout << "Test " << test_index_for_debug << " successful" << endl; cerr << "Test " << test_index_for_debug++ << " Run Time: " << double(end_clock_for_debug - start_clock_for_debug) / CLOCKS_PER_SEC << "s" << endl; cout << "--------------------------------------------------" << endl; } while (cin >> acm_local_for_debug && cin.putback(acm_local_for_debug)); ##else solve(); ##endif return 0; }
|
本文作者:jujimeizuo
本文地址: https://blog.jujimeizuo.cn/2020/10/24/2020-icpc-xiaomi-i/
本博客所有文章除特别声明外,均采用 CC BY-SA 3.0 协议。转载请注明出处!